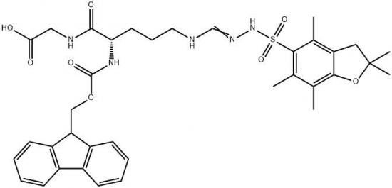
Product Name L-Ornithine, N-[(9H-fluoren-9-ylmethoxy)carbonyl]glycyl-N5-[[[(2,3-dihydro-2,2,4,6,7-pentamethyl-5-benzofuranyl)sulfonyl]amino]iminomethyl]- CAS No. 1048377-78-1 Package As required Molecular Weight 705.82 Molecular Formula C36H43N5O8S Specification Purity ≥98% HPLC
Product Name N,N-Diisopropylethylamine CAS No. 7087-68-5 Package As required Molecular Weight 129.24 Molecular Formula C8H19N Specification Purity ≥98% HPLC
We will be participating in 2025 CPHI Americas,from MAY.20 to 22, 2025. We believe there will be some items that will catch your attention and provide an opportunity for face-to-face communication.