Product Name Atosiban CAS No. 90779-69-4 Application Animal Pharmaceuticals Package standard or as customerized Molecular Weight 994.19 Molecular Formula C43H67N11O12S2 Specification
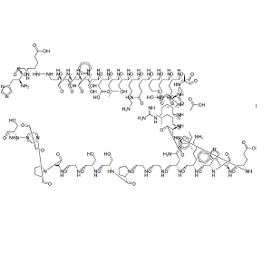
Product Name Exenatide CAS No. 141732-76-5 Application Widely used in different areas Package Molecular Weight 4244.60796 Molecular Formula C184H282N50O60S.C2H4O2 Specification
We will be participating in 2025 CPHI Americas,from MAY.20 to 22, 2025. We believe there will be some items that will catch your attention and provide an opportunity for face-to-face communication.